Cuando hablamos de tipo de cambio, todos conocemos alguna web donde consultar el tipo de cambio de contado de casi cualquier par de divisa, incluso en tiempo real. Internet nos da la posibilidad de acceder información que hace unos años tan solo poseían traders, bancos y gestoras.
Sin embargo, cuando nos enfrentamos a una compra a plazo la situación cambia. Si bien es cierto que podemos consultar el tipo de cambio de contado en tiempo real, no contamos con dicho precio a un plazo determinado, la cotización del forward o seguro de cambio.
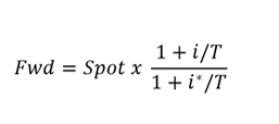
El calculo de un forward es el siguiente:

Es decir, la diferencia de tipos de interés ambas monedas al plazo, multiplicado por el nivel del spot.
Pero, ¿y cual es el tipo de interés al plazo? Esa es una de las grandes dificultades de este cálculo, pues dependiendo de cada plazo (1 mes, 3 meses, 6 meses….) se toma como referencia un subyacente diferente.
Esto significa que los puntos de plazo en algunas ocasiones estarán positivos (como es el caso en este momento del EURUSD), negativos (como es el caso del EURCHF), o variable, teniendo puntos positivos y negativos según el plazo a cotizar (como es el caso del AUDUSD por ejemplo). A esto hay que añadirle que los puntos de plazo no son lo mismo si estamos comprando o vendiendo una divisa, se cotizan igual que el spot: Bid y Ask, y además la cotización es realtime, al igual que con el spot.
El impacto de los puntos de plazo es de enorme importancia en el precio final del forward. En ocasiones tendremos un precio a un año que puede ser 2-3% mayor que el spot.
Uniendo este factor de gran variabilidad y la dificultad para las pymes para conocer con exactitud el nivel del forward en mercado, convierten a estas cotizaciones en producto estrella para los Bancos y Brokers para introducir fees adicionales a los que se negocian para un spot.
En resumen, a no ser que contemos una plataforma de información de mercado (tipo Bloomberg o Reuters), o con los servicios de consultoría de una firma especializada en divisa extranjera, no podremos calcular el tipo de cambio a plazo y no sabremos con exactitud la conveniencia o no de un precio ofertado.